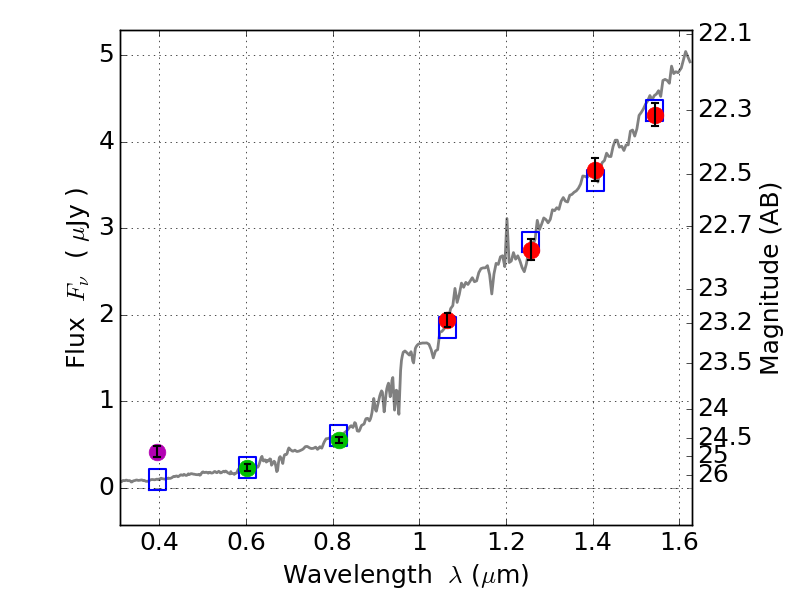
RXS0603+42-N IR detection object #3120

Color images and BPZ results
Catalog: 3120.cat
Black segments are analyzed here.   Roll mouse over color images to view segments.
Best viewed in a wide browser window (1200 pixels or more).   Download SED & P(z) plots to view larger versions.
In P(z) plots: Yellow lines mark the cluster redshift z = 0.228,  

Object #3120   x,y = (2674, 2460)   RA, Dec = (06:03:13.200, 42:15:45.36) = (90.80500, 42.26260)   BPZ = 1.405 [1.300--1.597]   type = 5.90 (Sbc_B10 - ES0_B10)   stellarity = 0.00   chisq2 = 0.38   ODDS = 0.71   z_cluster = 0.228