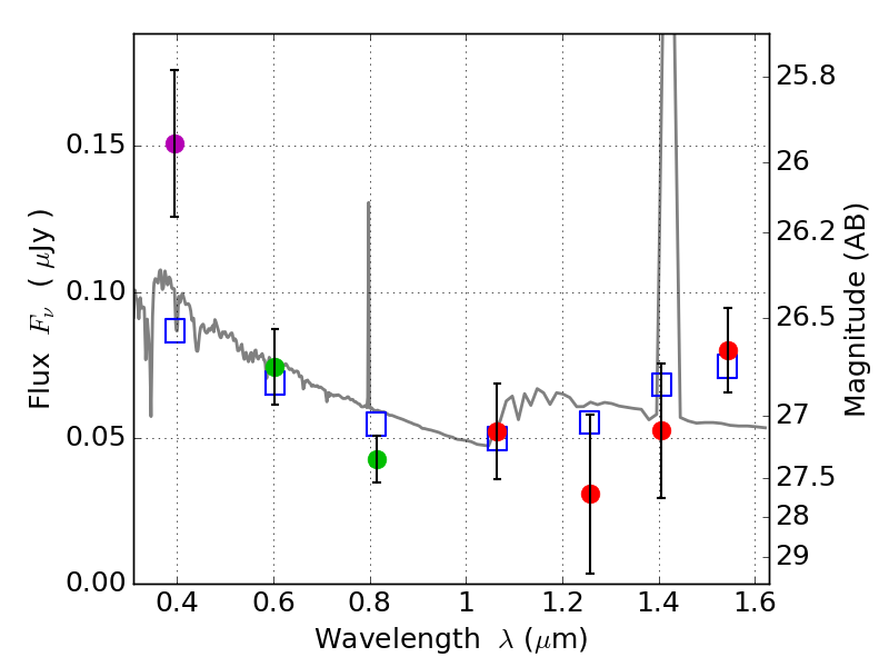
RXS0603+42-N IR detection object #3034

Color images and BPZ results
Catalog: 3034.cat
Black segments are analyzed here.   Roll mouse over color images to view segments.
Best viewed in a wide browser window (1200 pixels or more).   Download SED & P(z) plots to view larger versions.
In P(z) plots: Yellow lines mark the cluster redshift z = 0.228,  

Object #3034   x,y = (1971, 2499)   RA, Dec = (06:03:17.016, 42:15:47.52) = (90.82090, 42.26320)   BPZ = 1.852 [1.243--2.365]   type = 11.00 (SB11_A_0_l)   stellarity = 0.36   chisq2 = 2.29   ODDS = 0.28   z_cluster = 0.228