RXS0603+42-N IR detection object #3027

Color images and BPZ results
Catalog: 3027.cat
Black segments are analyzed here.   Roll mouse over color images to view segments.
Best viewed in a wide browser window (1200 pixels or more).   Download SED & P(z) plots to view larger versions.
In P(z) plots: Yellow lines mark the cluster redshift z = 0.228,  

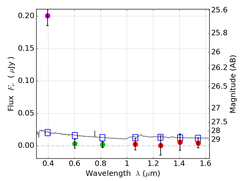
Object #3027   x,y = (2035, 2503)   RA, Dec = (06:03:16.656, 42:15:47.88) = (90.81940, 42.26330)   BPZ = 1.700 [0.911--2.414]   type = 11.00 (SB11_A_0_l)   stellarity = 0.65   chisq2 = 36.08   ODDS = 0.33   z_cluster = 0.228