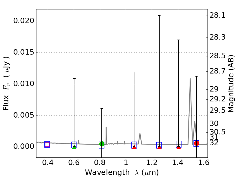
RXS0603+42-N IR detection object #3011

Color images and BPZ results
Catalog: 3011.cat
Black segments are analyzed here.   Roll mouse over color images to view segments.
Best viewed in a wide browser window (1200 pixels or more).   Download SED & P(z) plots to view larger versions.
In P(z) plots: Yellow lines mark the cluster redshift z = 0.228,  

Object #3011   x,y = (1650, 2510)   RA, Dec = (06:03:18.744, 42:15:48.24) = (90.82810, 42.26340)   BPZ = 1.276 [0.366--9.666]   type = 11.00 (SB11_A_0_l)   stellarity = 0.95   chisq2 = 900.00   ODDS = 0.05   z_cluster = 0.228