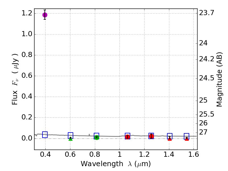
RXS0603+42-N IR detection object #2977

Color images and BPZ results
Catalog: 2977.cat
Black segments are analyzed here.   Roll mouse over color images to view segments.
Best viewed in a wide browser window (1200 pixels or more).   Download SED & P(z) plots to view larger versions.
In P(z) plots: Yellow lines mark the cluster redshift z = 0.228,  

Object #2977   x,y = (1678, 2537)   RA, Dec = (06:03:18.600, 42:15:50.04) = (90.82750, 42.26390)   BPZ = 1.702 [0.936--2.218]   type = 11.00 (SB11_A_0_l)   stellarity = 0.68   chisq2 = 172.20   ODDS = 0.47   z_cluster = 0.228