RXS0603+42-N IR detection object #2969

Color images and BPZ results
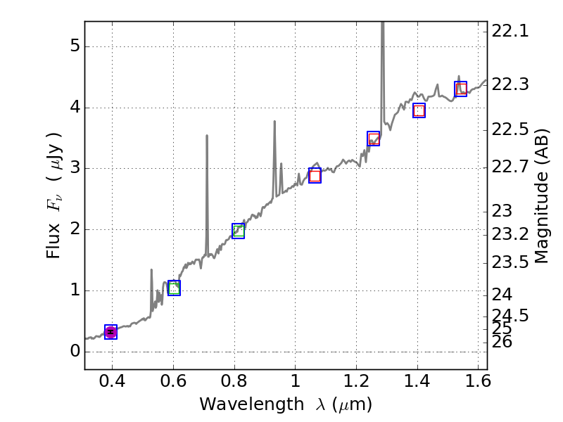
Catalog: 2969.cat
Black segments are analyzed here.   Roll mouse over color images to view segments.
Best viewed in a wide browser window (1200 pixels or more).   Download SED & P(z) plots to view larger versions.
In P(z) plots: Yellow lines mark the cluster redshift z = 0.228,  

Object #2969   x,y = (4722, 2540)   RA, Dec = (06:03:02.136, 42:15:50.04) = (90.75890, 42.26390)   BPZ = 0.424 [0.051--0.865]   type = 6.70 (Scd_B10 - Sbc_B10)   stellarity = 0.99   chisq2 = 990.00   ODDS = 0.20   z_cluster = 0.228