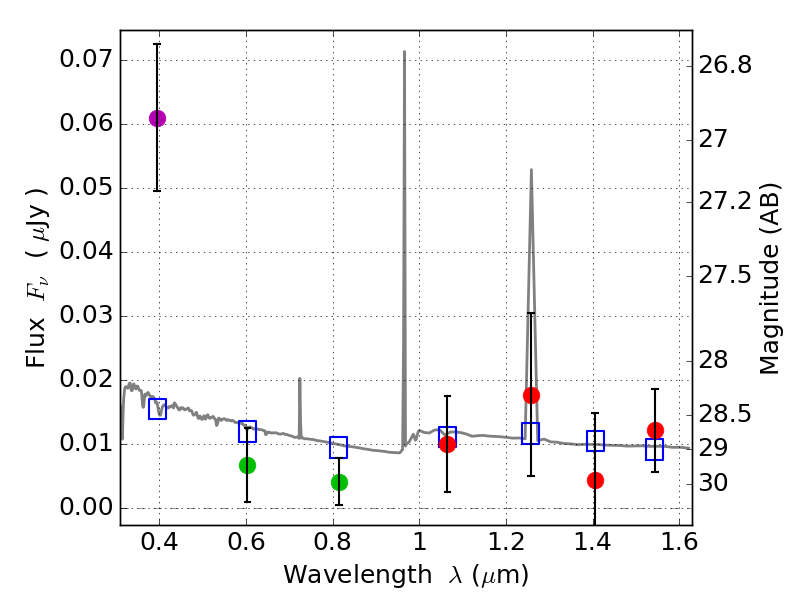
RXS0603+42-N IR detection object #2925

Color images and BPZ results
Catalog: 2925.cat
Black segments are analyzed here.   Roll mouse over color images to view segments.
Best viewed in a wide browser window (1200 pixels or more).   Download SED & P(z) plots to view larger versions.
In P(z) plots: Yellow lines mark the cluster redshift z = 0.228,  

Object #2925   x,y = (1851, 2560)   RA, Dec = (06:03:17.664, 42:15:51.12) = (90.82360, 42.26420)   BPZ = 1.587 [0.516--3.107]   type = 11.00 (SB11_A_0_l)   stellarity = 0.35   chisq2 = 4.83   ODDS = 0.16   z_cluster = 0.228