RXS0603+42-N IR detection object #2921

Color images and BPZ results
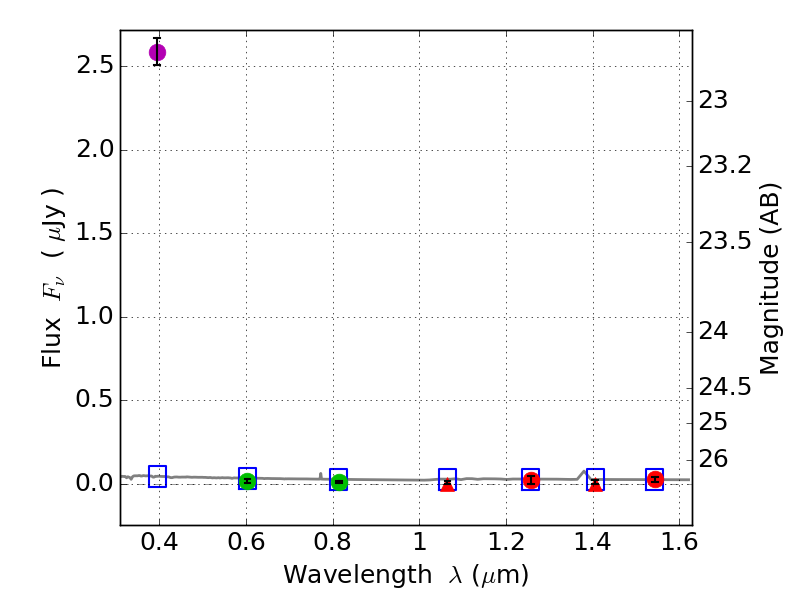
Catalog: 2921.cat
Black segments are analyzed here.   Roll mouse over color images to view segments.
Best viewed in a wide browser window (1200 pixels or more).   Download SED & P(z) plots to view larger versions.
In P(z) plots: Yellow lines mark the cluster redshift z = 0.228,  

Object #2921   x,y = (1952, 2552)   RA, Dec = (06:03:17.112, 42:15:50.76) = (90.82130, 42.26410)   BPZ = 1.763 [1.093--2.355]   type = 11.00 (SB11_A_0_l)   stellarity = 0.88   chisq2 = 248.20   ODDS = 0.32   z_cluster = 0.228