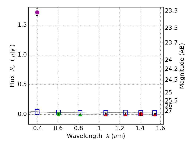
RXS0603+42-N IR detection object #2869

Color images and BPZ results
Catalog: 2869.cat
Black segments are analyzed here.   Roll mouse over color images to view segments.
Best viewed in a wide browser window (1200 pixels or more).   Download SED & P(z) plots to view larger versions.
In P(z) plots: Yellow lines mark the cluster redshift z = 0.228,  

Object #2869   x,y = (1759, 2577)   RA, Dec = (06:03:18.144, 42:15:52.20) = (90.82560, 42.26450)   BPZ = 1.700 [1.088--2.290]   type = 11.00 (SB11_A_0_l)   stellarity = 0.69   chisq2 = 224.50   ODDS = 0.44   z_cluster = 0.228