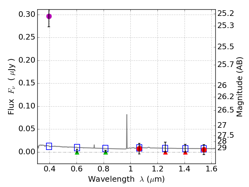
RXS0603+42-N IR detection object #2844

Color images and BPZ results
Catalog: 2844.cat
Black segments are analyzed here.   Roll mouse over color images to view segments.
Best viewed in a wide browser window (1200 pixels or more).   Download SED & P(z) plots to view larger versions.
In P(z) plots: Yellow lines mark the cluster redshift z = 0.228,  

Object #2844   x,y = (1832, 2586)   RA, Dec = (06:03:17.760, 42:15:52.92) = (90.82400, 42.26470)   BPZ = 1.611 [0.375--6.051]   type = 11.00 (SB11_A_0_l)   stellarity = 0.83   chisq2 = 37.24   ODDS = 0.13   z_cluster = 0.228