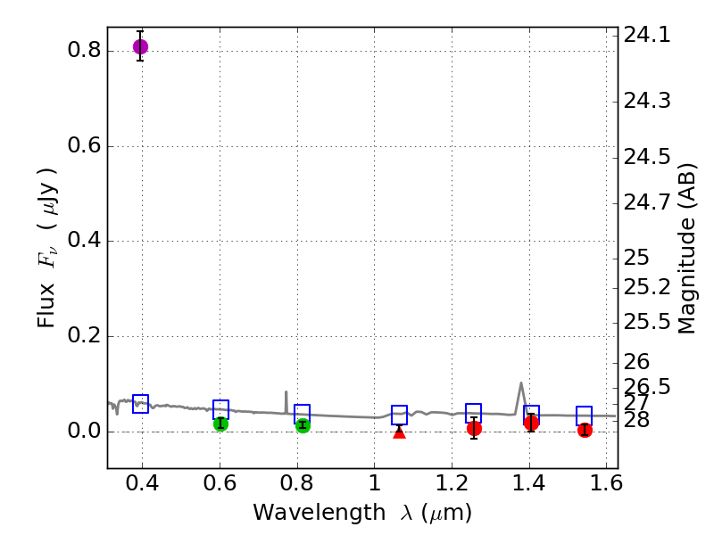
RXS0603+42-N IR detection object #2800

Color images and BPZ results
Catalog: 2800.cat
Black segments are analyzed here.   Roll mouse over color images to view segments.
Best viewed in a wide browser window (1200 pixels or more).   Download SED & P(z) plots to view larger versions.
In P(z) plots: Yellow lines mark the cluster redshift z = 0.228,  

Object #2800   x,y = (3291, 2598)   RA, Dec = (06:03:09.864, 42:15:53.64) = (90.79110, 42.26490)   BPZ = 1.763 [1.547--2.053]   type = 11.00 (SB11_A_0_l)   stellarity = 0.83   chisq2 = 157.60   ODDS = 0.62   z_cluster = 0.228