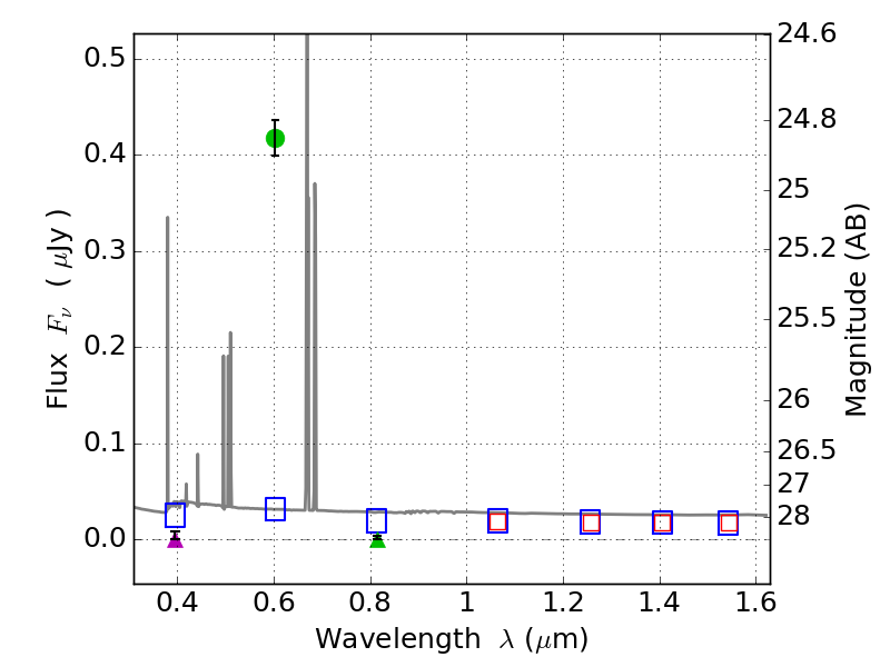
RXS0603+42-N IR detection object #278

Color images and BPZ results
Catalog: 278.cat
Black segments are analyzed here.   Roll mouse over color images to view segments.
Best viewed in a wide browser window (1200 pixels or more).   Download SED & P(z) plots to view larger versions.
In P(z) plots: Yellow lines mark the cluster redshift z = 0.228,  

Object #278   x,y = (2538, 3686)   RA, Dec = (06:03:13.944, 42:16:58.80) = (90.80810, 42.28300)   BPZ = 0.024 [0.011--3.102]   type = 11.00 (SB11_A_0_l)   stellarity = 0.68   chisq2 = 451.90   ODDS = 0.75   z_cluster = 0.228