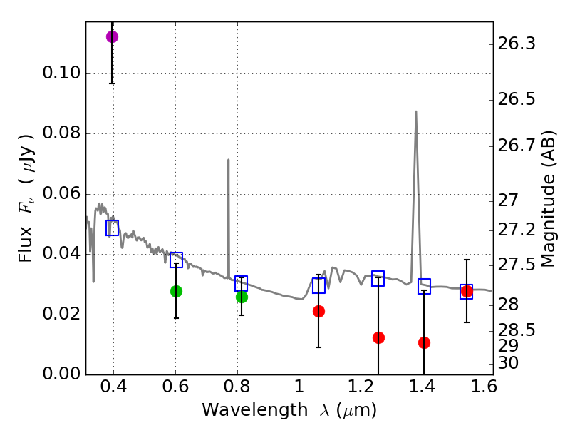
RXS0603+42-N IR detection object #2757

Color images and BPZ results
Catalog: 2757.cat
Black segments are analyzed here.   Roll mouse over color images to view segments.
Best viewed in a wide browser window (1200 pixels or more).   Download SED & P(z) plots to view larger versions.
In P(z) plots: Yellow lines mark the cluster redshift z = 0.228,  

Object #2757   x,y = (3082, 2617)   RA, Dec = (06:03:10.992, 42:15:54.72) = (90.79580, 42.26520)   BPZ = 1.764 [0.928--2.400]   type = 11.00 (SB11_A_0_l)   stellarity = 0.37   chisq2 = 5.06   ODDS = 0.31   z_cluster = 0.228