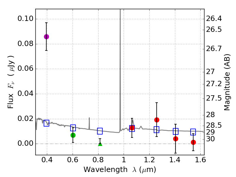
RXS0603+42-N IR detection object #2673

Color images and BPZ results
Catalog: 2673.cat
Black segments are analyzed here.   Roll mouse over color images to view segments.
Best viewed in a wide browser window (1200 pixels or more).   Download SED & P(z) plots to view larger versions.
In P(z) plots: Yellow lines mark the cluster redshift z = 0.228,  

Object #2673   x,y = (2441, 2655)   RA, Dec = (06:03:14.472, 42:15:56.88) = (90.81030, 42.26580)   BPZ = 1.613 [0.643--2.517]   type = 11.00 (SB11_A_0_l)   stellarity = 0.49   chisq2 = 11.84   ODDS = 0.27   z_cluster = 0.228