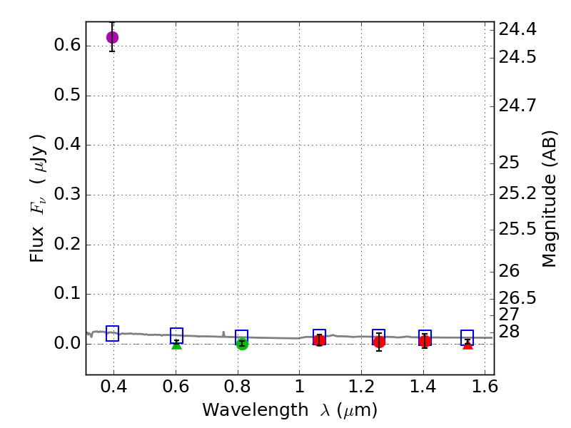
RXS0603+42-N IR detection object #2627

Color images and BPZ results
Catalog: 2627.cat
Black segments are analyzed here.   Roll mouse over color images to view segments.
Best viewed in a wide browser window (1200 pixels or more).   Download SED & P(z) plots to view larger versions.
In P(z) plots: Yellow lines mark the cluster redshift z = 0.228,  

Object #2627   x,y = (1767, 2668)   RA, Dec = (06:03:18.120, 42:15:57.60) = (90.82550, 42.26600)   BPZ = 1.701 [0.802--2.541]   type = 11.00 (SB11_A_0_l)   stellarity = 0.89   chisq2 = 106.20   ODDS = 0.34   z_cluster = 0.228