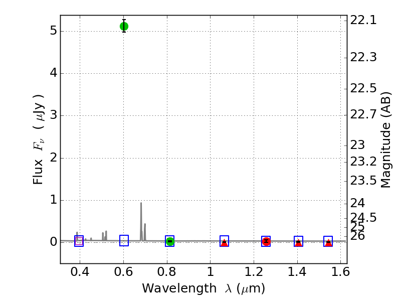
RXS0603+42-N IR detection object #2516

Color images and BPZ results
Catalog: 2516.cat
Black segments are analyzed here.   Roll mouse over color images to view segments.
Best viewed in a wide browser window (1200 pixels or more).   Download SED & P(z) plots to view larger versions.
In P(z) plots: Yellow lines mark the cluster redshift z = 0.228,  

Object #2516   x,y = (1657, 2714)   RA, Dec = (06:03:18.696, 42:16:00.48) = (90.82790, 42.26680)   BPZ = 0.042 [0.040--3.819]   type = 11.00 (SB11_A_0_l)   stellarity = 1.00   chisq2 = 378.30   ODDS = 0.06   z_cluster = 0.228