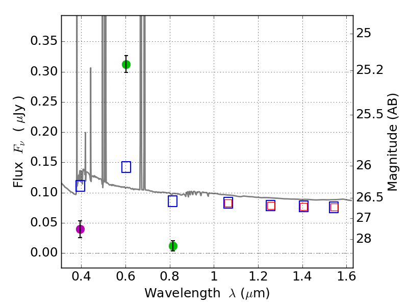
RXS0603+42-N IR detection object #2494

Color images and BPZ results
Catalog: 2494.cat
Black segments are analyzed here.   Roll mouse over color images to view segments.
Best viewed in a wide browser window (1200 pixels or more).   Download SED & P(z) plots to view larger versions.
In P(z) plots: Yellow lines mark the cluster redshift z = 0.228,  

Object #2494   x,y = (4329, 2724)   RA, Dec = (06:03:04.272, 42:16:01.20) = (90.76780, 42.26700)   BPZ = 0.018 [0.010--0.039]   type = 11.00 (SB11_A_0_l)   stellarity = 0.74   chisq2 = 155.90   ODDS = 1.00   z_cluster = 0.228