RXS0603+42-N IR detection object #2465

Color images and BPZ results
Catalog: 2465.cat
Black segments are analyzed here.   Roll mouse over color images to view segments.
Best viewed in a wide browser window (1200 pixels or more).   Download SED & P(z) plots to view larger versions.
In P(z) plots: Yellow lines mark the cluster redshift z = 0.228,  

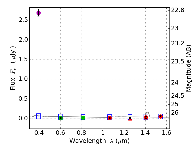
Object #2465   x,y = (1816, 2734)   RA, Dec = (06:03:17.856, 42:16:01.92) = (90.82440, 42.26720)   BPZ = 1.853 [1.146--2.281]   type = 11.00 (SB11_A_0_l)   stellarity = 0.79   chisq2 = 219.90   ODDS = 0.28   z_cluster = 0.228