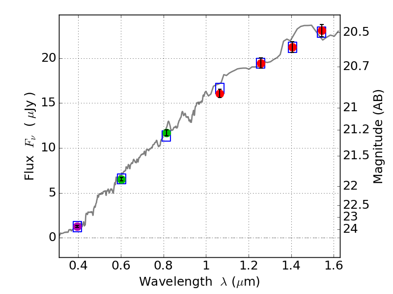
RXS0603+42-N IR detection object #2452

Color images and BPZ results
Catalog: 2452.cat
Black segments are analyzed here.   Roll mouse over color images to view segments.
Best viewed in a wide browser window (1200 pixels or more).   Download SED & P(z) plots to view larger versions.
In P(z) plots: Yellow lines mark the cluster redshift z = 0.228,  

Object #2452   x,y = (3134, 2707)   RA, Dec = (06:03:10.728, 42:16:00.12) = (90.79470, 42.26670)   BPZ = 0.087 [0.048--0.186]   type = 4.50 (ES0_B10 - Ell4_A_0)   stellarity = 0.03   chisq2 = 0.05   ODDS = 0.81   z_cluster = 0.228