RXS0603+42-N IR detection object #2433

Color images and BPZ results
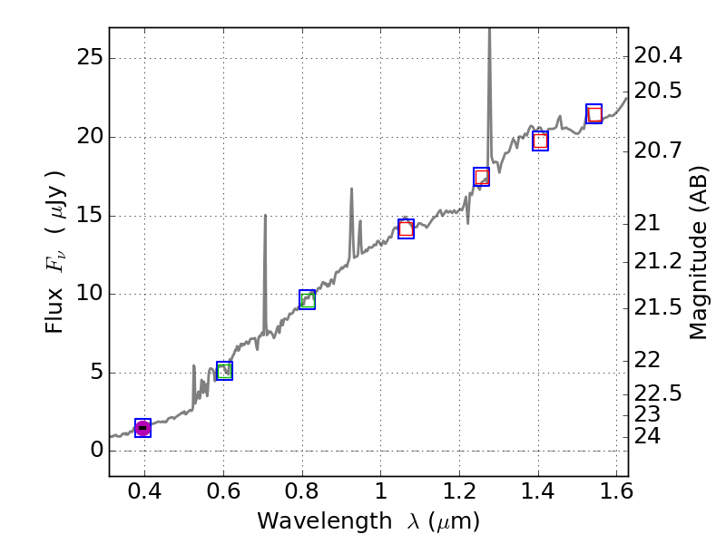
Catalog: 2433.cat
Black segments are analyzed here.   Roll mouse over color images to view segments.
Best viewed in a wide browser window (1200 pixels or more).   Download SED & P(z) plots to view larger versions.
In P(z) plots: Yellow lines mark the cluster redshift z = 0.228,  

Object #2433   x,y = (4953, 2739)   RA, Dec = (06:03:00.888, 42:16:01.92) = (90.75370, 42.26720)   BPZ = 0.408 [0.051--0.865]   type = 6.60 (Scd_B10 - Sbc_B10)   stellarity = 0.72   chisq2 = 990.00   ODDS = 0.21   z_cluster = 0.228