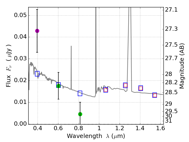
RXS0603+42-N IR detection object #2419

Color images and BPZ results
Catalog: 2419.cat
Black segments are analyzed here.   Roll mouse over color images to view segments.
Best viewed in a wide browser window (1200 pixels or more).   Download SED & P(z) plots to view larger versions.
In P(z) plots: Yellow lines mark the cluster redshift z = 0.228,  

Object #2419   x,y = (4308, 2747)   RA, Dec = (06:03:04.368, 42:16:02.64) = (90.76820, 42.26740)   BPZ = 1.596 [0.680--2.640]   type = 11.00 (SB11_A_0_l)   stellarity = 0.36   chisq2 = 6.75   ODDS = 0.19   z_cluster = 0.228