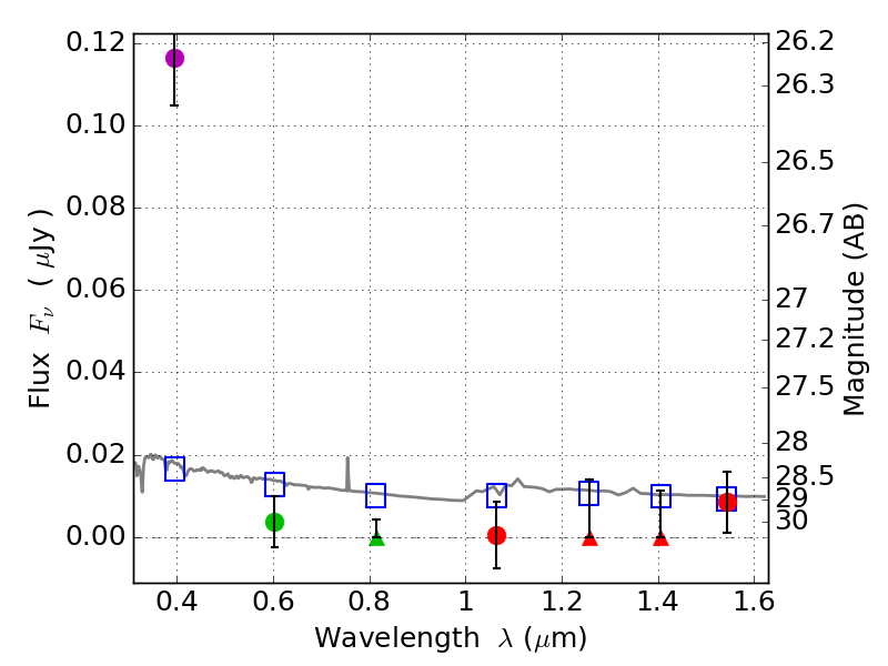
RXS0603+42-N IR detection object #2332

Color images and BPZ results
Catalog: 2332.cat
Black segments are analyzed here.   Roll mouse over color images to view segments.
Best viewed in a wide browser window (1200 pixels or more).   Download SED & P(z) plots to view larger versions.
In P(z) plots: Yellow lines mark the cluster redshift z = 0.228,  

Object #2332   x,y = (3034, 2777)   RA, Dec = (06:03:11.256, 42:16:04.44) = (90.79690, 42.26790)   BPZ = 1.700 [0.799--2.547]   type = 11.00 (SB11_A_0_l)   stellarity = 0.62   chisq2 = 20.88   ODDS = 0.25   z_cluster = 0.228