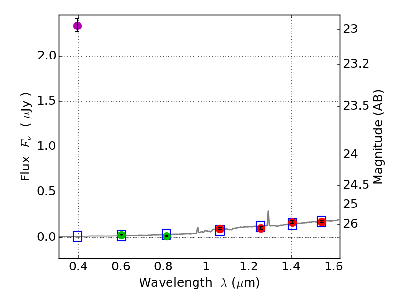
RXS0603+42-N IR detection object #2286

Color images and BPZ results
Catalog: 2286.cat
Black segments are analyzed here.   Roll mouse over color images to view segments.
Best viewed in a wide browser window (1200 pixels or more).   Download SED & P(z) plots to view larger versions.
In P(z) plots: Yellow lines mark the cluster redshift z = 0.228,  

Object #2286   x,y = (1823, 2783)   RA, Dec = (06:03:17.808, 42:16:04.80) = (90.82420, 42.26800)   BPZ = 1.582 [1.212--1.897]   type = 6.60 (Scd_B10 - Sbc_B10)   stellarity = 0.97   chisq2 = 246.50   ODDS = 0.45   z_cluster = 0.228