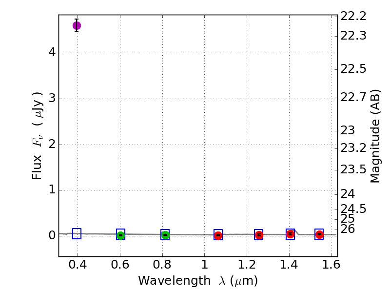
RXS0603+42-N IR detection object #2283

Color images and BPZ results
Catalog: 2283.cat
Black segments are analyzed here.   Roll mouse over color images to view segments.
Best viewed in a wide browser window (1200 pixels or more).   Download SED & P(z) plots to view larger versions.
In P(z) plots: Yellow lines mark the cluster redshift z = 0.228,  

Object #2283   x,y = (1819, 2774)   RA, Dec = (06:03:17.832, 42:16:04.08) = (90.82430, 42.26780)   BPZ = 1.854 [0.915--2.424]   type = 11.00 (SB11_A_0_l)   stellarity = 0.85   chisq2 = 276.80   ODDS = 0.25   z_cluster = 0.228