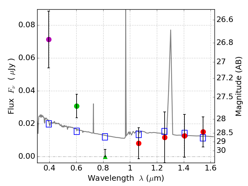
RXS0603+42-N IR detection object #2274

Color images and BPZ results
Catalog: 2274.cat
Black segments are analyzed here.   Roll mouse over color images to view segments.
Best viewed in a wide browser window (1200 pixels or more).   Download SED & P(z) plots to view larger versions.
In P(z) plots: Yellow lines mark the cluster redshift z = 0.228,  

Object #2274   x,y = (1806, 2790)   RA, Dec = (06:03:17.904, 42:16:05.16) = (90.82460, 42.26810)   BPZ = 1.596 [0.522--2.930]   type = 11.00 (SB11_A_0_l)   stellarity = 0.16   chisq2 = 5.20   ODDS = 0.17   z_cluster = 0.228