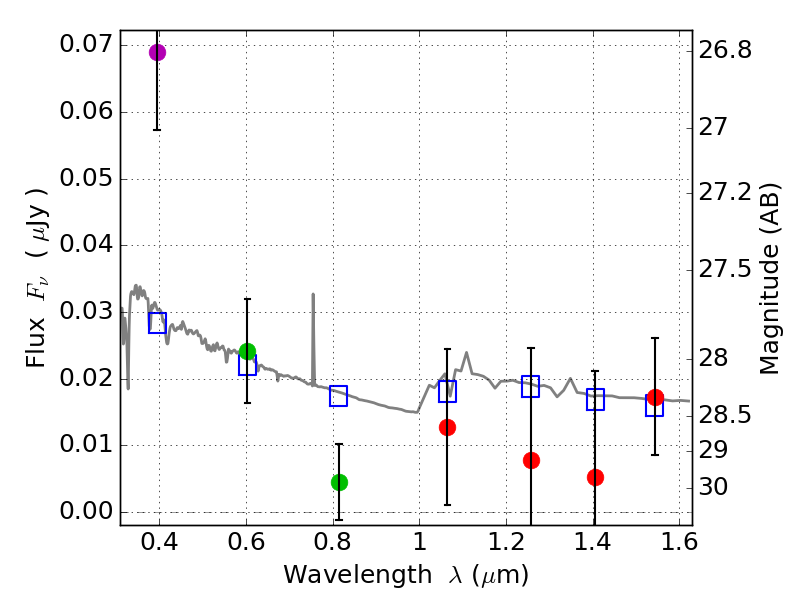
RXS0603+42-N IR detection object #2199

Color images and BPZ results
Catalog: 2199.cat
Black segments are analyzed here.   Roll mouse over color images to view segments.
Best viewed in a wide browser window (1200 pixels or more).   Download SED & P(z) plots to view larger versions.
In P(z) plots: Yellow lines mark the cluster redshift z = 0.228,  

Object #2199   x,y = (2441, 2819)   RA, Dec = (06:03:14.472, 42:16:06.96) = (90.81030, 42.26860)   BPZ = 1.702 [1.012--2.515]   type = 11.00 (SB11_A_0_l)   stellarity = 0.37   chisq2 = 4.38   ODDS = 0.27   z_cluster = 0.228