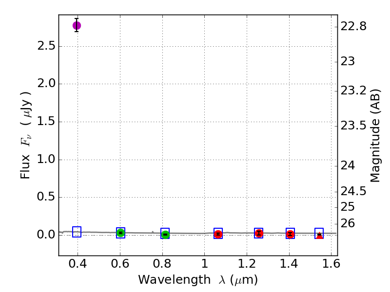
RXS0603+42-N IR detection object #2041

Color images and BPZ results
Catalog: 2041.cat
Black segments are analyzed here.   Roll mouse over color images to view segments.
Best viewed in a wide browser window (1200 pixels or more).   Download SED & P(z) plots to view larger versions.
In P(z) plots: Yellow lines mark the cluster redshift z = 0.228,  

Object #2041   x,y = (1894, 2881)   RA, Dec = (06:03:17.424, 42:16:10.56) = (90.82260, 42.26960)   BPZ = 1.700 [1.007--2.397]   type = 11.00 (SB11_A_0_l)   stellarity = 1.00   chisq2 = 248.70   ODDS = 0.41   z_cluster = 0.228