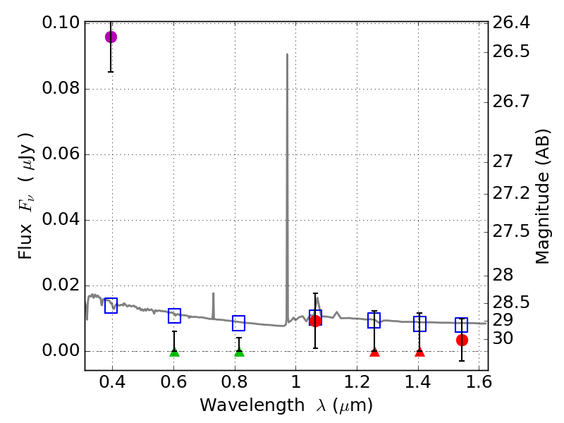
RXS0603+42-N IR detection object #2024

Color images and BPZ results
Catalog: 2024.cat
Black segments are analyzed here.   Roll mouse over color images to view segments.
Best viewed in a wide browser window (1200 pixels or more).   Download SED & P(z) plots to view larger versions.
In P(z) plots: Yellow lines mark the cluster redshift z = 0.228,  

Object #2024   x,y = (2406, 2888)   RA, Dec = (06:03:14.664, 42:16:10.92) = (90.81110, 42.26970)   BPZ = 1.612 [0.523--2.950]   type = 11.00 (SB11_A_0_l)   stellarity = 0.56   chisq2 = 16.67   ODDS = 0.21   z_cluster = 0.228