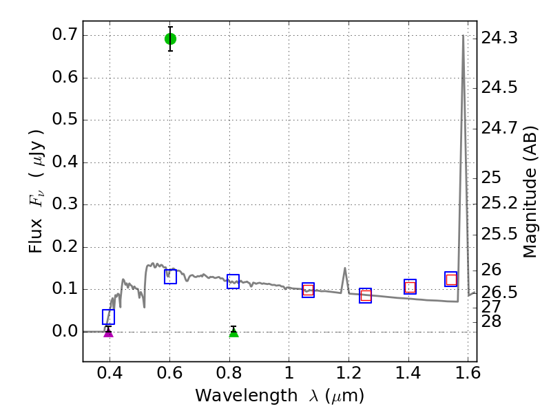
RXS0603+42-N IR detection object #1994

Color images and BPZ results
Catalog: 1994.cat
Black segments are analyzed here.   Roll mouse over color images to view segments.
Best viewed in a wide browser window (1200 pixels or more).   Download SED & P(z) plots to view larger versions.
In P(z) plots: Yellow lines mark the cluster redshift z = 0.228,  

Object #1994   x,y = (4363, 2892)   RA, Dec = (06:03:04.080, 42:16:11.28) = (90.76700, 42.26980)   BPZ = 3.253 [3.084--3.467]   type = 11.00 (SB11_A_0_l)   stellarity = 0.76   chisq2 = 425.70   ODDS = 0.92   z_cluster = 0.228