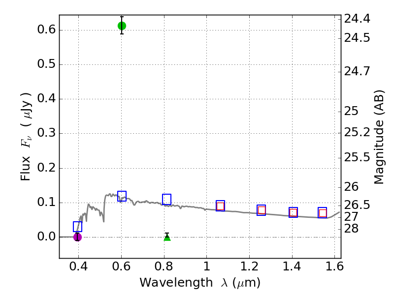
RXS0603+42-N IR detection object #1949

Color images and BPZ results
Catalog: 1949.cat
Black segments are analyzed here.   Roll mouse over color images to view segments.
Best viewed in a wide browser window (1200 pixels or more).   Download SED & P(z) plots to view larger versions.
In P(z) plots: Yellow lines mark the cluster redshift z = 0.228,  

Object #1949   x,y = (4358, 2912)   RA, Dec = (06:03:04.104, 42:16:12.36) = (90.76710, 42.27010)   BPZ = 3.274 [3.136--3.498]   type = 11.00 (SB11_A_0_l)   stellarity = 0.71   chisq2 = 411.60   ODDS = 0.92   z_cluster = 0.228