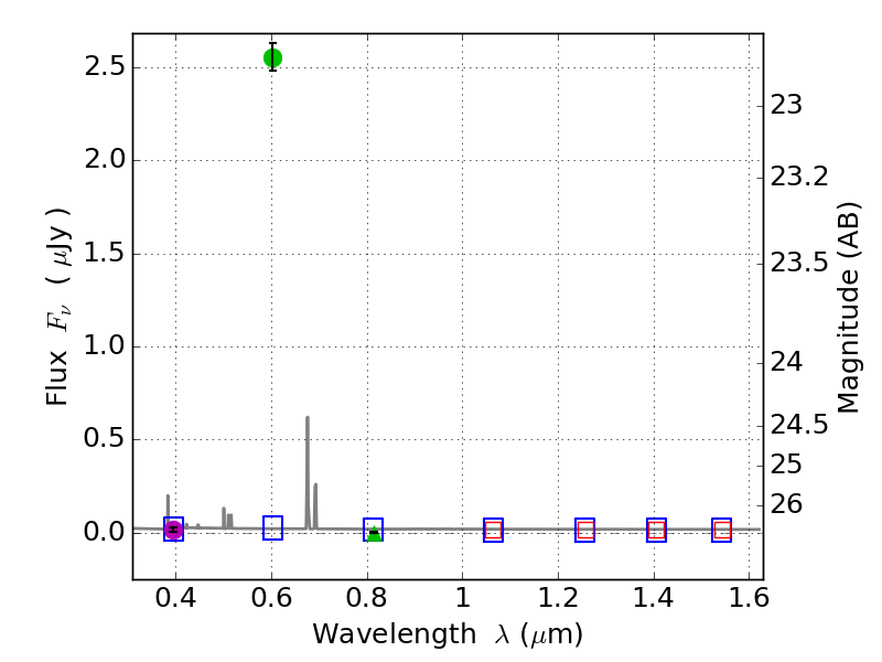
RXS0603+42-N IR detection object #182

Color images and BPZ results
Catalog: 182.cat
Black segments are analyzed here.   Roll mouse over color images to view segments.
Best viewed in a wide browser window (1200 pixels or more).   Download SED & P(z) plots to view larger versions.
In P(z) plots: Yellow lines mark the cluster redshift z = 0.228,  

Object #182   x,y = (2489, 3745)   RA, Dec = (06:03:14.208, 42:17:02.40) = (90.80920, 42.28400)   BPZ = 0.033 [0.029--2.795]   type = 11.00 (SB11_A_0_l)   stellarity = 0.67   chisq2 = 1095.00   ODDS = 0.07   z_cluster = 0.228