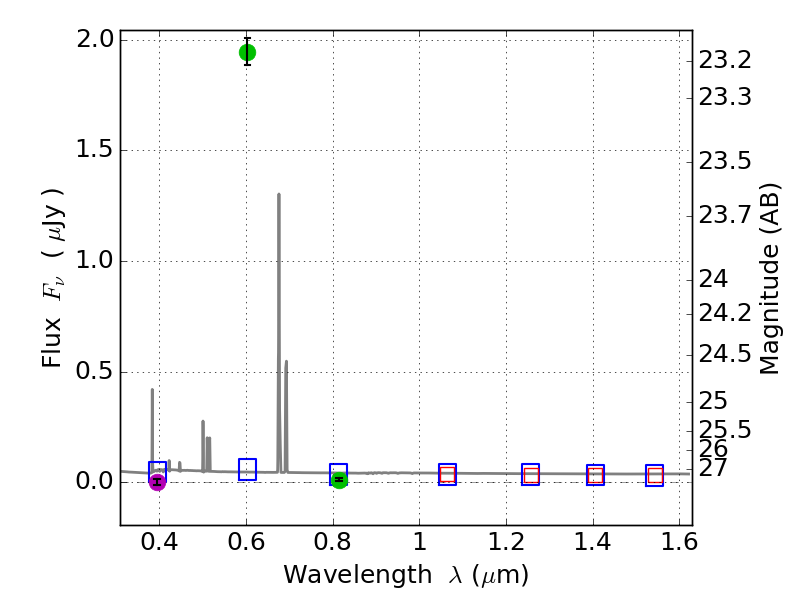
RXS0603+42-N IR detection object #1720

Color images and BPZ results
Catalog: 1720.cat
Black segments are analyzed here.   Roll mouse over color images to view segments.
Best viewed in a wide browser window (1200 pixels or more).   Download SED & P(z) plots to view larger versions.
In P(z) plots: Yellow lines mark the cluster redshift z = 0.228,  

Object #1720   x,y = (4137, 2998)   RA, Dec = (06:03:05.304, 42:16:17.76) = (90.77210, 42.27160)   BPZ = 0.027 [0.021--3.538]   type = 11.00 (SB11_A_0_l)   stellarity = 0.81   chisq2 = 977.70   ODDS = 0.10   z_cluster = 0.228