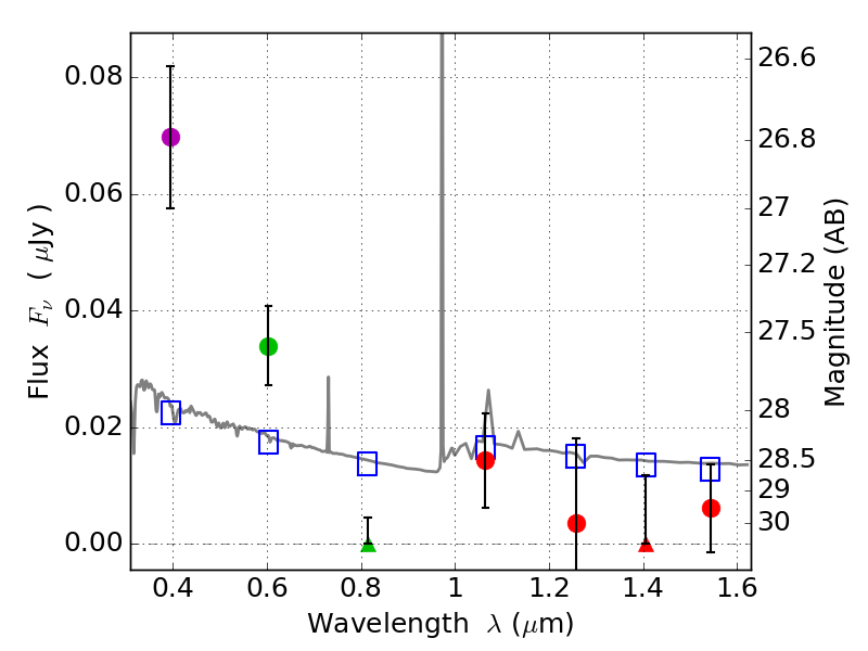
RXS0603+42-N IR detection object #1653

Color images and BPZ results
Catalog: 1653.cat
Black segments are analyzed here.   Roll mouse over color images to view segments.
Best viewed in a wide browser window (1200 pixels or more).   Download SED & P(z) plots to view larger versions.
In P(z) plots: Yellow lines mark the cluster redshift z = 0.228,  

Object #1653   x,y = (2320, 3024)   RA, Dec = (06:03:15.120, 42:16:19.20) = (90.81300, 42.27200)   BPZ = 1.612 [0.629--2.606]   type = 11.00 (SB11_A_0_l)   stellarity = 0.42   chisq2 = 7.93   ODDS = 0.28   z_cluster = 0.228