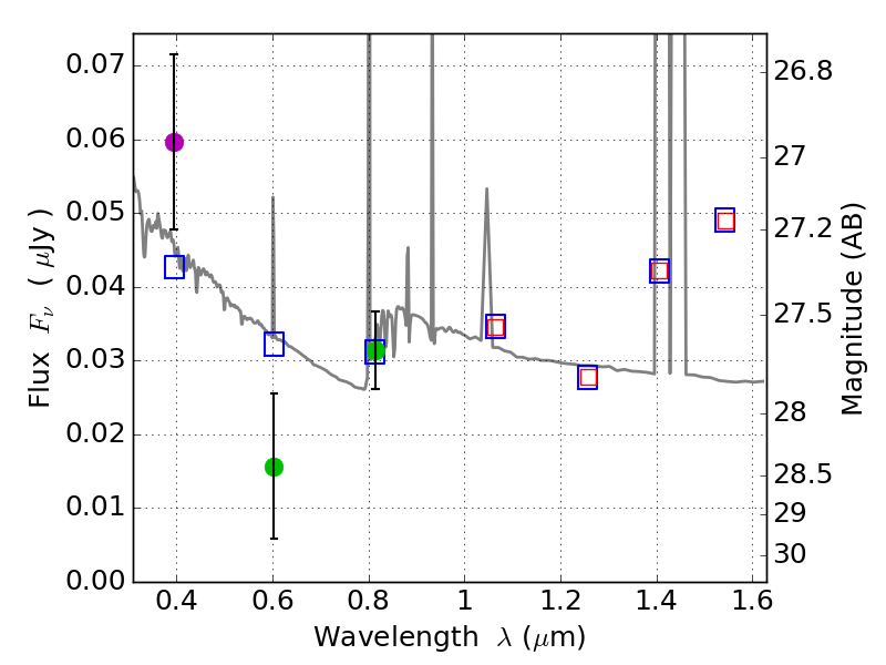
RXS0603+42-N IR detection object #1652

Color images and BPZ results
Catalog: 1652.cat
Black segments are analyzed here.   Roll mouse over color images to view segments.
Best viewed in a wide browser window (1200 pixels or more).   Download SED & P(z) plots to view larger versions.
In P(z) plots: Yellow lines mark the cluster redshift z = 0.228,  

Object #1652   x,y = (4006, 3022)   RA, Dec = (06:03:06.000, 42:16:18.84) = (90.77500, 42.27190)   BPZ = 1.155 [0.547--2.408]   type = 11.00 (SB11_A_0_l)   stellarity = 0.35   chisq2 = 4.49   ODDS = 0.13   z_cluster = 0.228