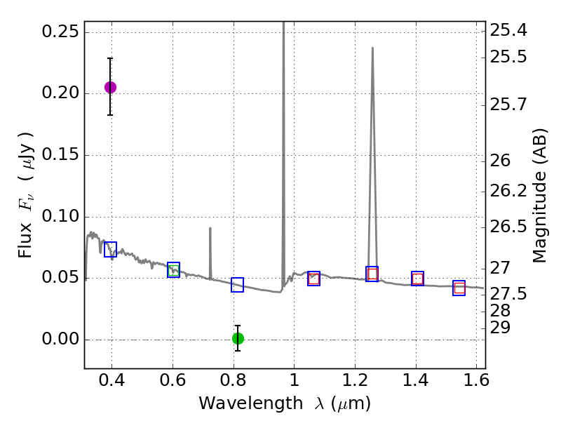
RXS0603+42-N IR detection object #1649

Color images and BPZ results
Catalog: 1649.cat
Black segments are analyzed here.   Roll mouse over color images to view segments.
Best viewed in a wide browser window (1200 pixels or more).   Download SED & P(z) plots to view larger versions.
In P(z) plots: Yellow lines mark the cluster redshift z = 0.228,  

Object #1649   x,y = (4273, 3024)   RA, Dec = (06:03:04.560, 42:16:19.20) = (90.76900, 42.27200)   BPZ = 1.595 [1.253--2.184]   type = 11.00 (SB11_A_0_l)   stellarity = 0.82   chisq2 = 45.61   ODDS = 0.35   z_cluster = 0.228