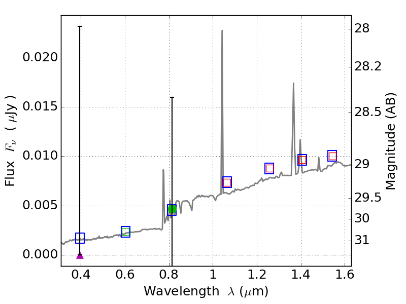
RXS0603+42-N IR detection object #1533

Color images and BPZ results
Catalog: 1533.cat
Black segments are analyzed here.   Roll mouse over color images to view segments.
Best viewed in a wide browser window (1200 pixels or more).   Download SED & P(z) plots to view larger versions.
In P(z) plots: Yellow lines mark the cluster redshift z = 0.228,  

Object #1533   x,y = (4029, 3073)   RA, Dec = (06:03:05.880, 42:16:22.08) = (90.77450, 42.27280)   BPZ = 1.080 [0.303--8.166]   type = 8.00 (SB1_B10)   stellarity = 0.95   chisq2 = 900.00   ODDS = 0.05   z_cluster = 0.228