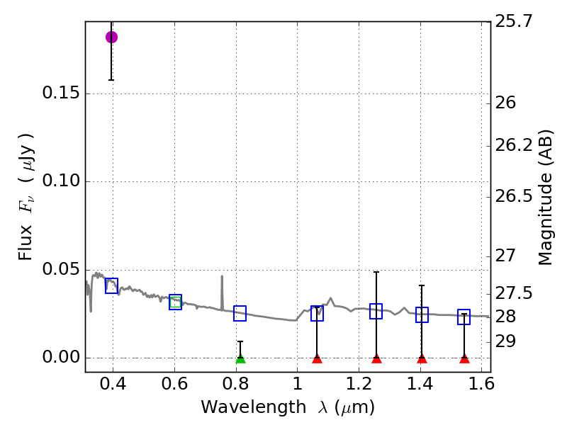
RXS0603+42-N IR detection object #1360

Color images and BPZ results
Catalog: 1360.cat
Black segments are analyzed here.   Roll mouse over color images to view segments.
Best viewed in a wide browser window (1200 pixels or more).   Download SED & P(z) plots to view larger versions.
In P(z) plots: Yellow lines mark the cluster redshift z = 0.228,  

Object #1360   x,y = (3826, 3150)   RA, Dec = (06:03:06.984, 42:16:26.76) = (90.77910, 42.27410)   BPZ = 1.700 [0.628--5.261]   type = 11.00 (SB11_A_0_l)   stellarity = 0.73   chisq2 = 13.62   ODDS = 0.24   z_cluster = 0.228