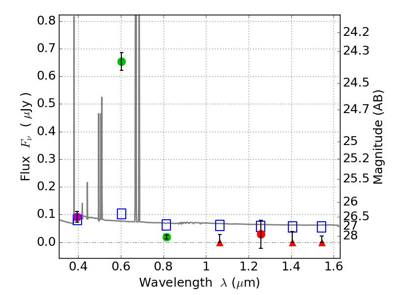
RXS0603+42-N IR detection object #1359

Color images and BPZ results
Catalog: 1359.cat
Black segments are analyzed here.   Roll mouse over color images to view segments.
Best viewed in a wide browser window (1200 pixels or more).   Download SED & P(z) plots to view larger versions.
In P(z) plots: Yellow lines mark the cluster redshift z = 0.228,  

Object #1359   x,y = (3833, 3145)   RA, Dec = (06:03:06.936, 42:16:26.40) = (90.77890, 42.27400)   BPZ = 0.020 [0.010--0.046]   type = 11.00 (SB11_A_0_l)   stellarity = 0.68   chisq2 = 79.55   ODDS = 1.00   z_cluster = 0.228