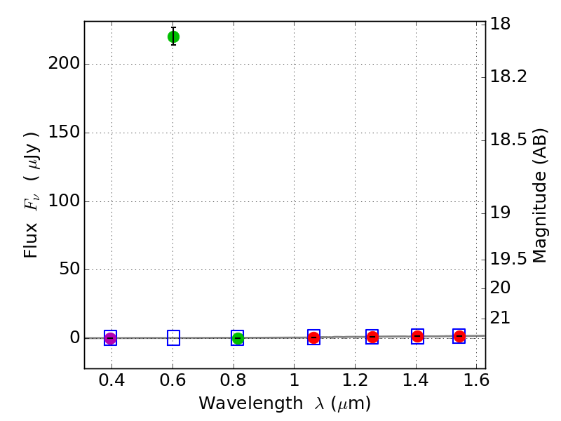
RXS0603+42-N IR detection object #1297

Color images and BPZ results
Catalog: 1297.cat
Black segments are analyzed here.   Roll mouse over color images to view segments.
Best viewed in a wide browser window (1200 pixels or more).   Download SED & P(z) plots to view larger versions.
In P(z) plots: Yellow lines mark the cluster redshift z = 0.228,  

Object #1297   x,y = (2890, 3089)   RA, Dec = (06:03:12.048, 42:16:23.16) = (90.80020, 42.27310)   BPZ = 1.830 [1.657--1.940]   type = 6.70 (Scd_B10 - Sbc_B10)   stellarity = 1.00   chisq2 = 287.10   ODDS = 0.85   z_cluster = 0.228