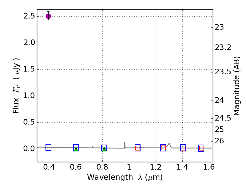
RXS0603+42-N IR detection object #1251

Color images and BPZ results
Catalog: 1251.cat
Black segments are analyzed here.   Roll mouse over color images to view segments.
Best viewed in a wide browser window (1200 pixels or more).   Download SED & P(z) plots to view larger versions.
In P(z) plots: Yellow lines mark the cluster redshift z = 0.228,  

Object #1251   x,y = (2036, 3199)   RA, Dec = (06:03:16.656, 42:16:29.64) = (90.81940, 42.27490)   BPZ = 1.596 [0.693--4.652]   type = 11.00 (SB11_A_0_l)   stellarity = 1.00   chisq2 = 970.50   ODDS = 0.20   z_cluster = 0.228