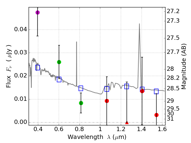
RXS0603+42-N IR detection object #1211

Color images and BPZ results
Catalog: 1211.cat
Black segments are analyzed here.   Roll mouse over color images to view segments.
Best viewed in a wide browser window (1200 pixels or more).   Download SED & P(z) plots to view larger versions.
In P(z) plots: Yellow lines mark the cluster redshift z = 0.228,  

Object #1211   x,y = (3122, 3225)   RA, Dec = (06:03:10.776, 42:16:31.08) = (90.79490, 42.27530)   BPZ = 1.764 [0.520--2.696]   type = 11.00 (SB11_A_0_l)   stellarity = 0.36   chisq2 = 2.62   ODDS = 0.26   z_cluster = 0.228