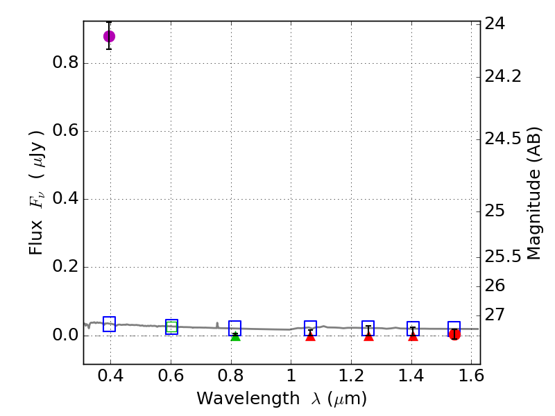
RXS0603+42-N IR detection object #1117

Color images and BPZ results
Catalog: 1117.cat
Black segments are analyzed here.   Roll mouse over color images to view segments.
Best viewed in a wide browser window (1200 pixels or more).   Download SED & P(z) plots to view larger versions.
In P(z) plots: Yellow lines mark the cluster redshift z = 0.228,  

Object #1117   x,y = (3746, 3268)   RA, Dec = (06:03:07.416, 42:16:33.96) = (90.78090, 42.27610)   BPZ = 1.700 [1.072--2.375]   type = 11.00 (SB11_A_0_l)   stellarity = 0.98   chisq2 = 155.50   ODDS = 0.38   z_cluster = 0.228