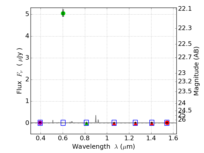
RXS0603+42-N IR detection object #1083

Color images and BPZ results
Catalog: 1083.cat
Black segments are analyzed here.   Roll mouse over color images to view segments.
Best viewed in a wide browser window (1200 pixels or more).   Download SED & P(z) plots to view larger versions.
In P(z) plots: Yellow lines mark the cluster redshift z = 0.228,  

Object #1083   x,y = (3464, 3279)   RA, Dec = (06:03:08.928, 42:16:34.32) = (90.78720, 42.27620)   BPZ = 0.368 [0.043--2.294]   type = 11.00 (SB11_A_0_l)   stellarity = 0.97   chisq2 = 286.50   ODDS = 0.12   z_cluster = 0.228