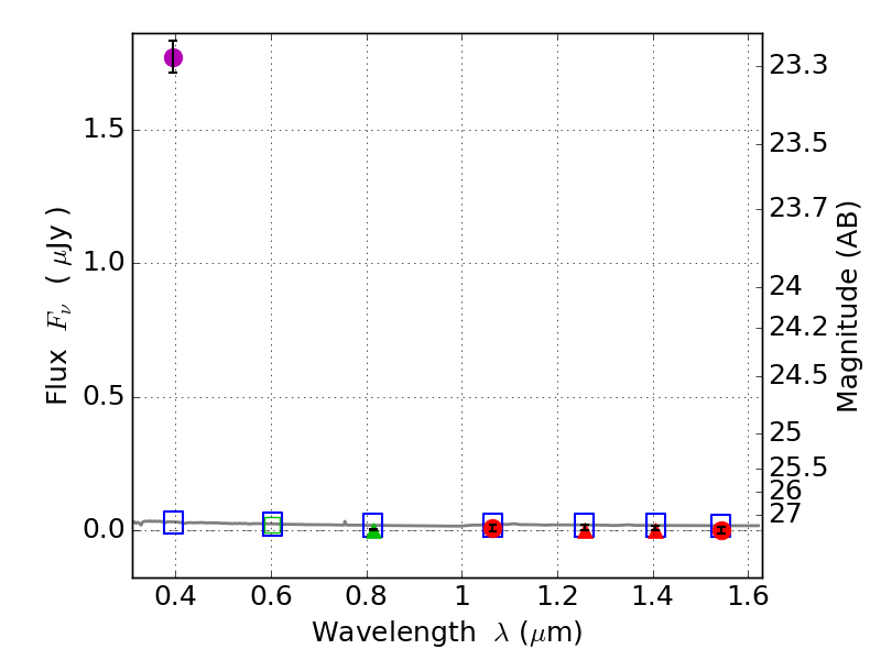
RXS0603+42-N IR detection object #1018

Color images and BPZ results
Catalog: 1018.cat
Black segments are analyzed here.   Roll mouse over color images to view segments.
Best viewed in a wide browser window (1200 pixels or more).   Download SED & P(z) plots to view larger versions.
In P(z) plots: Yellow lines mark the cluster redshift z = 0.228,  

Object #1018   x,y = (3594, 3312)   RA, Dec = (06:03:08.232, 42:16:36.48) = (90.78430, 42.27680)   BPZ = 1.701 [0.668--2.719]   type = 11.00 (SB11_A_0_l)   stellarity = 0.99   chisq2 = 293.70   ODDS = 0.33   z_cluster = 0.228