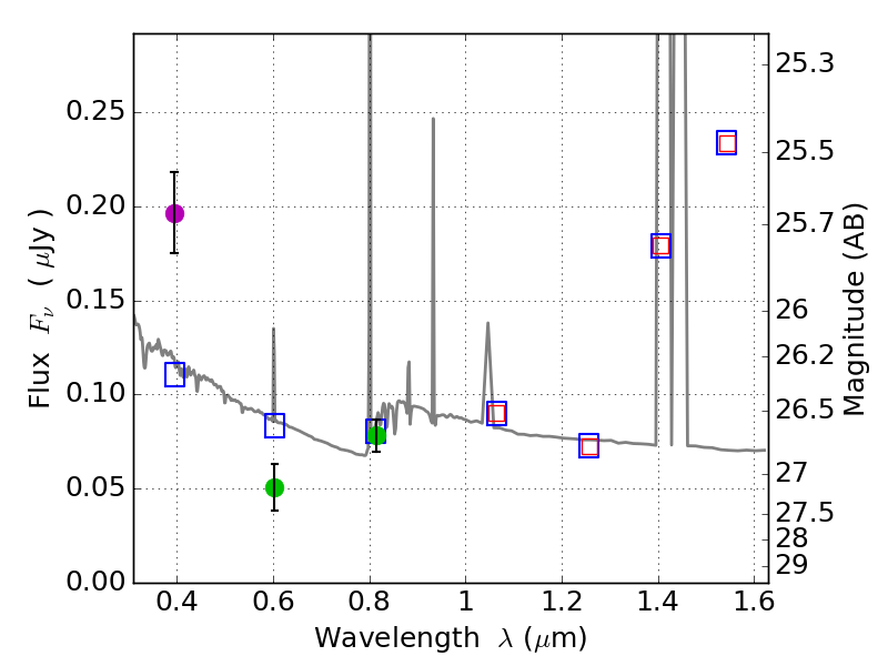
RXS0603+42-N ACS+IR detection object #8589

Color images and BPZ results
Catalog: 8589.cat
Black segments are analyzed here.   Roll mouse over color images to view segments.
Best viewed in a wide browser window (1200 pixels or more).   Download SED & P(z) plots to view larger versions.
In P(z) plots: Yellow lines mark the cluster redshift z = 0.228,  

Object #8589   x,y = (3024, 997)   RA, Dec = (06:03:11.328, 42:14:17.52) = (90.79720, 42.23820)   BPZ = 1.152 [0.854--2.073]   type = 11.00 (SB11_A_0_l)   stellarity = 0.03   chisq2 = 13.20   ODDS = 0.22   z_cluster = 0.228