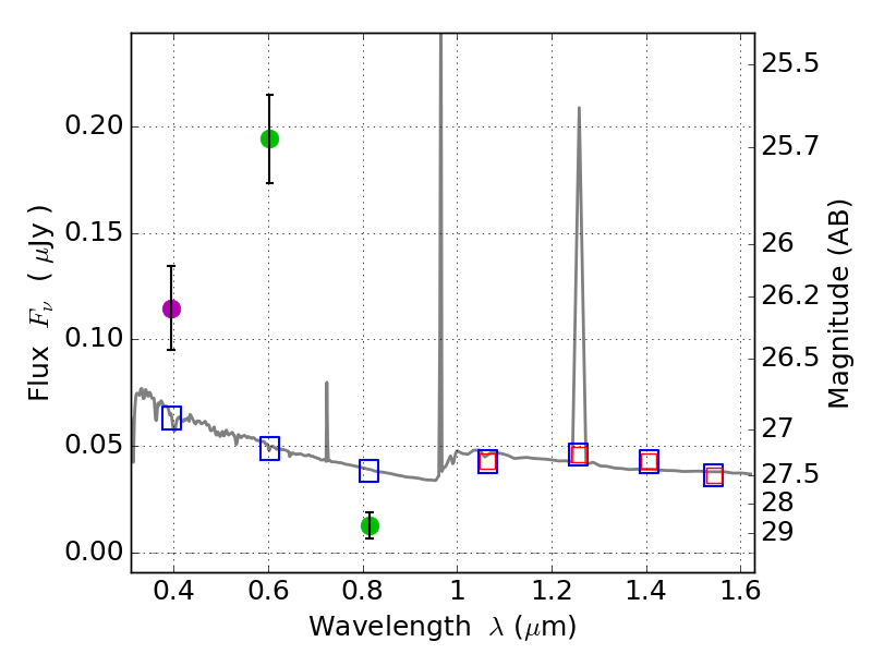
RXS0603+42-N ACS+IR detection object #6710

Color images and BPZ results
Catalog: 6710.cat
Black segments are analyzed here.   Roll mouse over color images to view segments.
Best viewed in a wide browser window (1200 pixels or more).   Download SED & P(z) plots to view larger versions.
In P(z) plots: Yellow lines mark the cluster redshift z = 0.228,  

Object #6710   x,y = (4143, 1606)   RA, Dec = (06:03:05.280, 42:14:53.88) = (90.77200, 42.24830)   BPZ = 1.595 [1.212--2.298]   type = 11.00 (SB11_A_0_l)   stellarity = 0.08   chisq2 = 65.36   ODDS = 0.32   z_cluster = 0.228