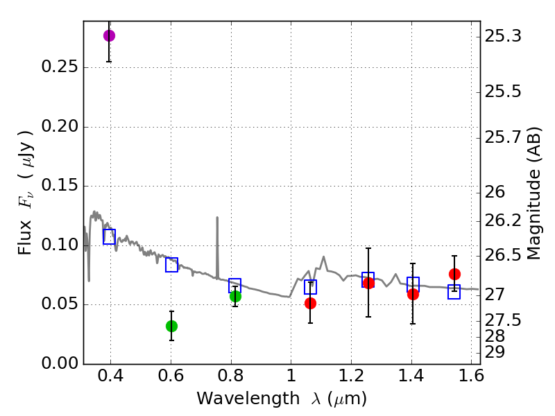
RXS0603+42-N ACS+IR detection object #6448

Color images and BPZ results
Catalog: 6448.cat
Black segments are analyzed here.   Roll mouse over color images to view segments.
Best viewed in a wide browser window (1200 pixels or more).   Download SED & P(z) plots to view larger versions.
In P(z) plots: Yellow lines mark the cluster redshift z = 0.228,  

Object #6448   x,y = (3109, 1738)   RA, Dec = (06:03:10.848, 42:15:02.16) = (90.79520, 42.25060)   BPZ = 1.698 [1.196--2.084]   type = 11.00 (SB11_A_0_l)   stellarity = 0.70   chisq2 = 16.71   ODDS = 0.40   z_cluster = 0.228