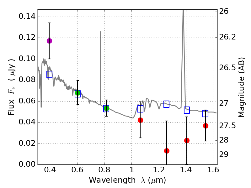
RXS0603+42-N ACS+IR detection object #6246

Color images and BPZ results
Catalog: 6246.cat
Black segments are analyzed here.   Roll mouse over color images to view segments.
Best viewed in a wide browser window (1200 pixels or more).   Download SED & P(z) plots to view larger versions.
In P(z) plots: Yellow lines mark the cluster redshift z = 0.228,  

Object #6246   x,y = (1933, 1852)   RA, Dec = (06:03:17.208, 42:15:08.64) = (90.82170, 42.25240)   BPZ = 1.765 [0.765--2.506]   type = 11.00 (SB11_A_0_l)   stellarity = 0.68   chisq2 = 1.97   ODDS = 0.32   z_cluster = 0.228