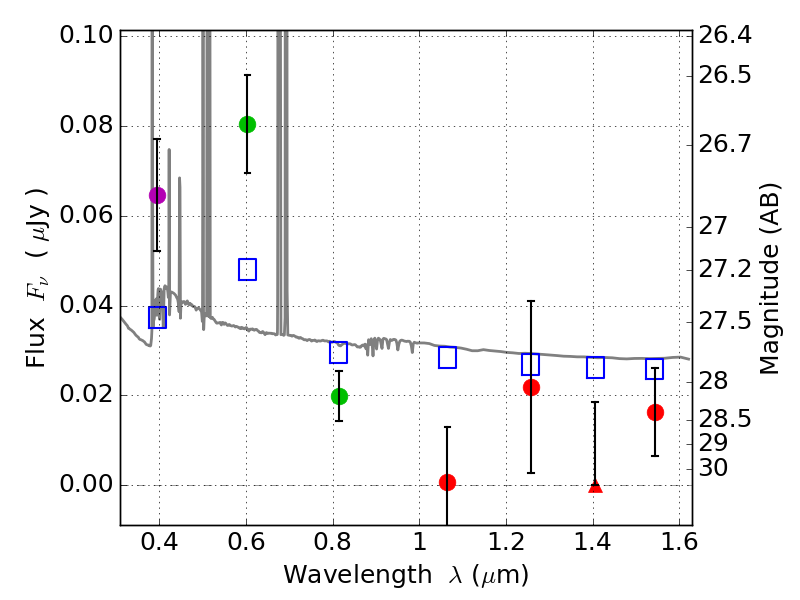
RXS0603+42-N ACS+IR detection object #6223

Color images and BPZ results
Catalog: 6223.cat
Black segments are analyzed here.   Roll mouse over color images to view segments.
Best viewed in a wide browser window (1200 pixels or more).   Download SED & P(z) plots to view larger versions.
In P(z) plots: Yellow lines mark the cluster redshift z = 0.228,  

Object #6223   x,y = (3379, 1860)   RA, Dec = (06:03:09.408, 42:15:09.36) = (90.78920, 42.25260)   BPZ = 0.029 [0.022--2.678]   type = 11.00 (SB11_A_0_l)   stellarity = 0.35   chisq2 = 5.64   ODDS = 0.09   z_cluster = 0.228