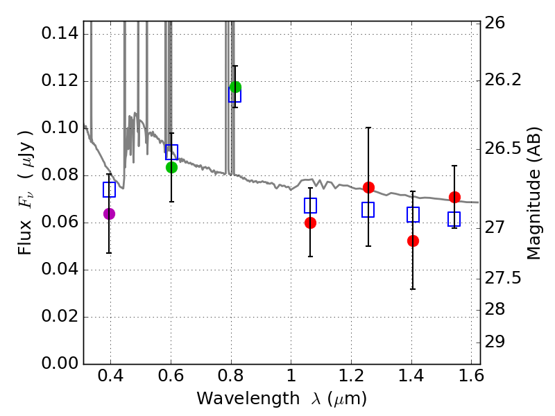
RXS0603+42-N ACS+IR detection object #5812

Color images and BPZ results
Catalog: 5812.cat
Black segments are analyzed here.   Roll mouse over color images to view segments.
Best viewed in a wide browser window (1200 pixels or more).   Download SED & P(z) plots to view larger versions.
In P(z) plots: Yellow lines mark the cluster redshift z = 0.228,  

Object #5812   x,y = (2864, 1986)   RA, Dec = (06:03:12.192, 42:15:16.92) = (90.80080, 42.25470)   BPZ = 0.201 [0.093--0.343]   type = 11.00 (SB11_A_0_l)   stellarity = 0.37   chisq2 = 0.37   ODDS = 0.52   z_cluster = 0.228